产品中心
- 亚磷酰胺单体
- DNA单体
- RNA (2'-O-TBDMS)单体
- 2'-O-Me单体
- 2'-O-MOE单体
- 2'-Fluoro单体
- 3'-Fluoro单体
- 2'-O-Propargyl单体
- LNA单体
- 2'-O-C16单体
- PMO单体
- ENA单体
- 2'-O-TOM单体
- Linker单体
- Reverse单体
- Arabino单体
- GNA单体
- Other单体
- 核苷
- 2'-F核苷
- 2'-O-Me核苷
- 2'-O-MOE核苷
- 2'-O-炔丙基核苷
- 氨基修饰核苷
- 异核苷
- LNA锁核苷
- 2'-FANA核苷
- 卤代核苷
- 脱水核苷
- 3'-O-Me核苷
- 其他修饰核苷
- 碱基保护核苷
- TBDMS保护核苷
- DMTr保护核苷
- Ac保护核苷
- Bz保护核苷
- 其他保护性核苷
- 核苷和脱氧核苷
- L-核苷
- Ara核苷
- 其他核苷
- mRNA产品与服务
- 分子诊断原料
- 磷试剂
- Succinates
- 递送系统
- 荧光染料
- Oligo合成试剂
- 定制服务
- 产品手册

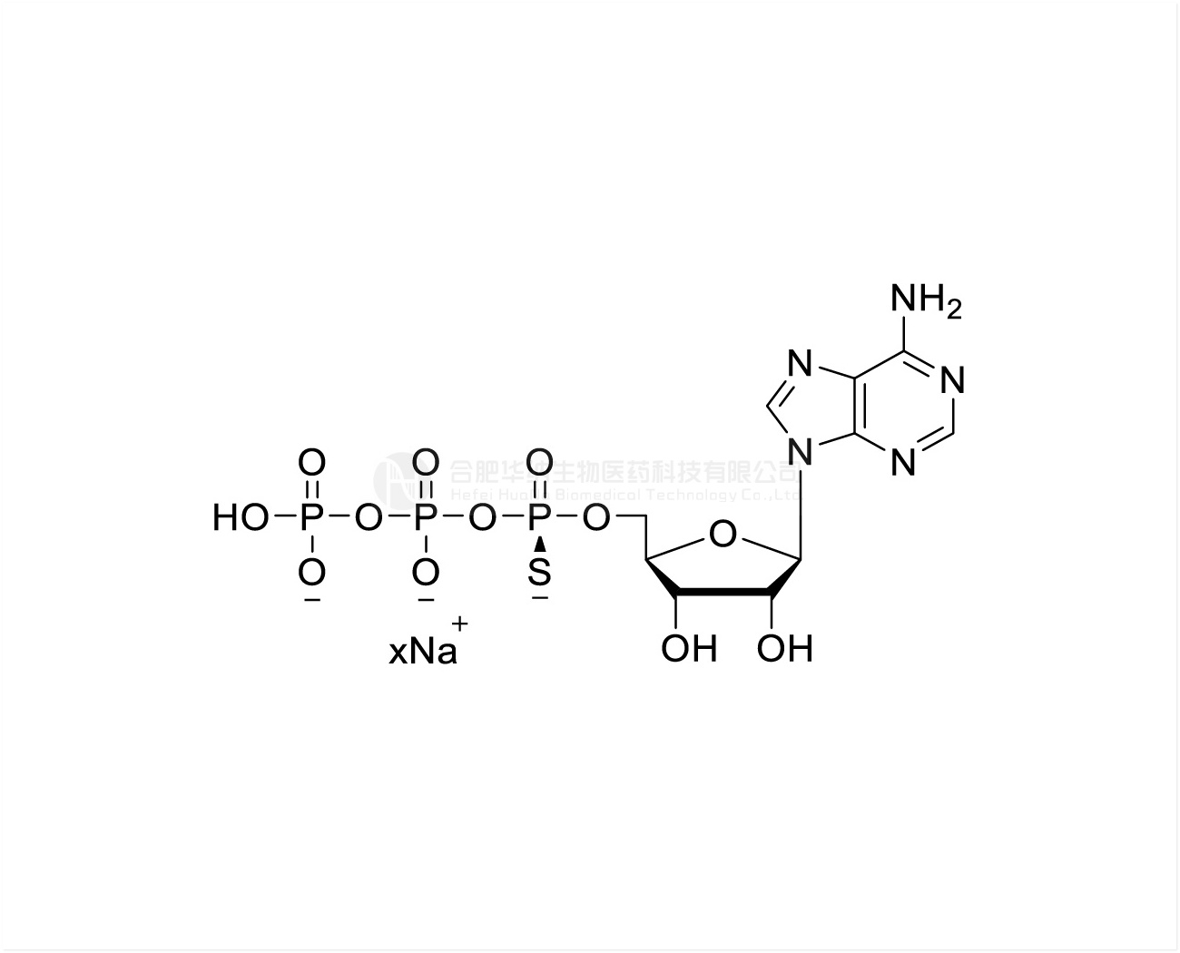
ATPαS (Sp isomer) 100 mM Sodium Solution
名称:ATPαS (Sp isomer) 100 mM Sodium Solution
CAS号:58976-48-0 (free acid)
分子量:523.24 (free acid)
外观:白色至淡黄色粉末
存储条件:<-20℃. Always avoid freeze-thaw cycles
分子式:C10H16N5O12P3S(free acid)
纯度:>98%
- 产品描述
- 相关产品
- 留言咨询
- 返回列表





















